-
-
老师,这题B应该选吗
-
为什么这里im-ipm为正啊
-
1.稳态和暂态的磁链平衡电路是相等的吗,我按照park变换的公式推感觉两个磁链平衡电路是一样的,感觉推导是一模一样的
2.磁链和电动势成正比吗
3.磁链方程中的变压器电势在机电暂态过程中是都等于0吗,不需要考虑变
-
老师课上讲的这道例题,能不能先假设存在零序电流,然后根据星形接地可以流过零序电流,一直推到最后一个变压器,又因为最后一个电压器二次测没有接地,不存在电流,再根据变压器电流比等于变比的反比前推到故障点得
-
不理解前两项电动势的符号为什么是负的
-
可以解释一下这是为什么吗,我认为同一点时三相短路电流不是大于单相接地短路电流吗
-
当短路电流产生时,阻尼绕组和励磁绕组产生增磁作用,使转子的总磁场增加,使得电动势E0增大,这里我明白,但是定子侧的短路电流产生的电枢反应磁场也增加,那同步电抗不是也得增加吗,为什么没有考虑同步电抗的变化
-
12题正方向我写的动作方程对吗?反方向出口短路,跟正方向的分析有什么区别?反方向不是很会
-
开学后学校上了电分稳态部分,教材是“电力系统分析基础 第2版 李庚银”。其中讲电力系统拓扑图电压时教材和ppt将发电机出口至升压变压器一次测中间母线标定为10kV,学校老师讲课时说发电机出口电压为10.5kV额定。我
-
这个题老师在计算34段对应的最小分支系数时,并未考虑变压器支路的分流影响,是因为短路后短路电流主要由双回线路流向短路点,而流经变压器支路的电流相对较小,故而可以忽略该支路的影响。
还有就是本题在求保护一
-
拔高里用的内角a,这个12题问最大灵敏角。是直接faisen=-a,(1)三相短路最大灵敏角45度,(2)两相短路近端最大灵敏角45度,(3)远端最大灵敏角B相15度/C相75度。
这样分析对吗?
-
为什么是110/根3,而不是115/根3
-
90度接线电流超前电压90度,但实际上只要电压和电流有90度的相位差就行吧,谁超前谁都行
-
拔高题里Ic方向未知,Ic与Uab夹脚未知,无法确定状态。这里第9题给的答案直接Ic=0,这里错了吧?
-
如何理解负荷需求Q增加,负荷节点电压会降低呢?电压降落公式是QX/U,分子变大,但是分母是未知量啊,如何知道线路的电压降落增加,又因为E不变,所以负荷节点的电压降低呢?
-
我这样画对吗
-
这里的负序电压为零怎么进行推导呀
-
老师,能帮我看下这个题答案有没有问题嘛
我觉得不应该加躲过外部最大短路时的不平衡电流
因为,比率制动特性,去整定它的时候设置的最小电流,不是应该躲过,一侧TA二次断线吗?因为制动电流在小于额定电流以前采
-
图1里P0-0积分为加速面积是因为图2题目中说增加40度才切除故障,是应用已知切除角为δ0+40求解其他问题
图3里P0-P2积分为加速面积,求解切除角,进而求解其他问题
我的想法对嘛,有的题加速面积式子不一样
-
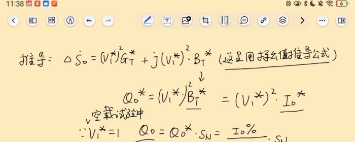
暂态电势是由主磁通所产生的,主磁通不变是不是意味着暂态电势等于空载电势,但是好像是错的,为什么暂态电势是用这个表达式
-
出口?
-
思考题的Umb和Umc是怎么画的啊?没有其他短路条件我只看到E
-
-
对于阻抗角是一个范围的线路,考虑各种短路情况后求取功率方向元件的最大灵敏角,是按照PPT上的类似于并集(取最大和最小)角平分线,还是图2的交集角平分线?
-
公式X二 分母的不应该是X△嘛?为什么带的是正序等效定则以后下面那俩数的和?
-
最大灵敏角=负的测量角,在哪里?我没找到
-
什么是负载率
-
为什么三绕组变压器的分接头一般安在高压侧与中压侧
-
学长,这里怎么判断是否要带方向呢
-
没有安装自动调速系统,如果负荷突然降低,发电机的出力>电磁功率,发电机转速瞬间增加,是不是一直转速快,不会因为负荷降低使得转速减速从而减少出力
-
二次调频可以手动或者自动调节吗
-
一个是二次电压回路断线失压闭锁元件,一个是故障选相元件,考试的时候这两个选其中一个写就行吗
-
我觉得这个题因果关系反了,不应该是由于负荷无数减少,导致发电功率>电磁功率,系统频率上升,如果系统频率上升应该是因为负荷需要的有功减少才对
-
为什么不选D
-
能详细解释一下这道题为啥选择AB,为啥不选C吗
-
老师,这个角度指的是什么角度,就是图像的横坐标
-
这道题为啥选择A,可以形象地解释一下吗
-
这里应该是躲过最小负荷阻抗吧
-
从9/11往前推,两个t8,是我错了还是答案错了
-
这里如果34和56线路不一样长 二段整定选择下游最短的一段配合,然后算出两个线路的分支系数,选最小分支系数吗
-
送点端应该是容性吧,这里是不是笔误了
-
老师这个,我突然就想不懂了。
这个求解变量,为什么不求PV节点的Q了呢?pv节点的话Q不也应该是带求量吗?
-
345kV是330kV的平均额定电压,但例题课里还是把它排除了;
做这种选择题时需要排除非标准的电压等级吗(平均额定电压,1.05Un这种)?
-
1.这里面的旋转备用和非旋转备用分别指的是什么呀
2.它们和热备用以及冷备用有什么关系
-
关于单位的基本概念有点混淆了,能不能帮我理一下电阻、电导、电纳、电容、电感、电抗这些单位的概念和他们之间的一些关系
-
为什么没有稳态超越问题
-
可以根据电流的大小来区分短路和故障吗?振荡时电流最大是2E/Z,短路时电流可以很大
-
图中故障采用三相星形接线时,老师说可以先切BC段故障,再切AB段故障。两段线路的继电保护装置不应该同时动作吗?为什么可以有先后顺序呢?
-
保护1的反方向,不应该是1右边那段吗?为什么除得电抗是2+16?
-
如图为电压互感器二次侧电压分析例题,首次第三问中L630对N600'的电压是100V没问题,那么第四问中他的变比是0.1/根号3,最终的3U0这个式子计算出来也应该是0.1/根号3呀,为啥最终结果是100V。
-
207题这个开口为2 2’位置 怎么判断两点电压大小 老师板书写的220/121=242/V2’ 这个式子是怎么来的
-
老师板书上面写的这个压降的正负和A,B空载电压有什么关系 有点不明白环流怎样会使空载电压变化
-
-
老师,这道题我考虑了一个高阻抗接地的话电流特别小,无法完成相位比较
-
老师,这道题的动作时间不是指的总的动作时间吗?是指的相邻之间的配合时间差吗?
-
老师这道题对于送电侧来说,送电侧往外送出电流?发生故障时向中性点流入零序电流,它俩的方向不应该相反了吗?这样的话它还能正确动作吗?
-
功率倒转方向的简称是功率导向嘛
-
这个如何校验,不会写具体计算公式。
-
这个Zset2是怎么推出来的,他好像说什么线路流向母线电流为负?但是不用管那个发电机流出的电流吗?
-
两题的系统阻抗给的都是电抗值,答案在整定计算题中计及了阻抗角90度,而在振荡题中直接用了幅值计算。
我的理解是距离保护的整定计算主要是为了保护之间的配合,所以可以直接用幅值计算,而振荡影响计算为了求出测
-
保护1的距离保护II段的整定值与下级线路的距离保护I段配合如果下级线路是双回线应该和其中比较短的线路配合,这样证明对吗,Zbc1与Zbc2的和是42,将保护1的距离保护II段用Zbc1和Zbc2表示,发现这个表达式的对称轴是5
-
这个题为什么xq一撇不等于xq啊,暂态时q轴上不是没有绕组作用吗
-
第一句话说非周期分量取得最大值是短路电流取得瞬时最大值的前提,短路瞬间的非周期分量是最大的然后衰减,那到0.01s非周期分量肯定不是最大值了,那为什么说是前提呢
-
这里断路器16左侧发生短路发电机供给短路点的路径不是只有经过断路器11母线和断路器16一条路径,那断路器9就不能和断路器16相互配合,所以断路器9的动作时限不应该是0秒吗,还有断路器10的电流方向不是只有从左到右
-
C,D选项功率分布应该是按照什么分布呢?是根据第二张图片中基本功率分布和循环功率分布吗
-
老师,这个最大灵敏角怎么会能成为正值呢?正常情况下,它应该是线路阻抗角减去180度啊
零序功率方向继电器是不是有别的接线方式?
-
第七题的第二问远后备能帮我看看有没有算错吗?
-
这里求保护1的限时电流速断保护要和保护2的电流速断保护相配合,而保护2的电流速断保护是在最大运行方式下C点发生三相短路时流过保护2的短路电流,但是在求保护1的限时电流速断保护要求分支系数是最小的,假设发电机
-
题中绕组额定电压给的是线电压还是相电压?
-
这个题的10处为何要加装方向元件?如果不加的话,在哪发生故障会引起它的误动?
-
维持发电机机端电压,我理解的是调节If控制电压,此处发出无功功率,无功功率补偿电压下降,可是学过潮流计算中du≈p1r+q1x/U1后就不理解了,我无功功率的流出不是加大了电压损耗吗?怎么会维持机端电压不变呢?
-
老师,这个零序保护这里这个方向我总是搞不懂。
计算零序电流和电压的夹角时,应该是等于线路角减去180度。就是我图中标注的电流I1,这个时候电流由母线指向线路,所以是正方向,同时它也是零序电流的反方向。
但是如
-
对于过流保护来说,是不是近后备灵敏度要大于远后备灵敏度,可我记得有个题说的是远后备灵敏度大于近后备灵敏度,关于这两个后备保护灵敏度应该怎么理解?
-
开始取了转矩标幺值,最后又得到有名值的转子运动方程,为什么?
-
-
老师这个幅值比较是它是什么意思啊?也是判断功率方向继电器的动作条件吗?他们两个是与门还是或门?
我们的书中讲的是可以根据相位来比较,也可以根据输出有功无功的正负来比较。输出有功无功的正负至少也应该是相
-
老师这个接线系数的结论可以推导一下吗?
-
这个题上边说B系统不参加二次调频,那只参加一次调频的话,它的KGB不是应该不参与调频,只需要考虑KDB吗?
-
我认为这个不太严谨,因为在二次调频出力没有完全满足负荷增加量的话,也不能实现无差的调频。
这是不是有点绝对啊?
-
我不太理解为啥最后推导出来Eq'正比于uf就得出来了Eq'不能突变,可以详细解释一下吗?
-
这个题最前面求Eq的时候,好像不能用电压降落的办法求Eq,为什么呀
-
老师,这里负荷指的是有功功率还是总功率
-
电机学的不好😂,想问一个很简单的问题,这里说的q轴没有绕组是说的没有励磁绕组吗,还有q轴上的绕组是Qq绕组,是不是也叫阻尼绕组
-
1.这道题如果问的是A相的短路电流分周期分量最大值是不是选择B
2.B相不是滞后A相120°吗,那么如果我第一个说法是正确的话,那不是应该是–10减去120 170减去120,最后这道题不是应该选择C选项吗
-
51题 我想的是振荡功角从0°到90°需要1/4个周期即0.2s,剩下0.6s时保护动作,开始延时计时,但只计0.5s<0.6s,所以躲不过
哪里有问题呀
-
这题各电源电流的方向(图中的I1,I2,I)是如何确定的?
-
当初我按照陈珩老师的电力系统稳态分析学习时,其书上直接以公式推导开篇,但我在明知理论上电力系统分析中所有电气值应该是线值的情况下我没有理解公式的推导过程,但是将其看作相值反而感觉是通畅的,因为复功率 S
-
图1是老师讲义里的初步功率(供载➕循环)表达式,图2是水木的循环功率表达式,以及判别循环功率方向的方法。
然后不理解的就是,图2中的UA1-UA2变化成(k求和 - 1)Un,为什么用这个来算循环功率,
这里k求和 对于循
-
我想知道老师在课上说的两相短路时正序和负序各自有1/2的Zf,然后我无法理解这个说法,可以形象地解释一下吗
-
这个题我不理解电流方向怎么看
-
这个由发电厂和变电所连接起来的网络没说有输电线,书上的范围也说明是发电厂啊,为什么这边是输电网
-
这道题的D选项为啥错了呀
-
-
为什么电流保护试用于35KV以下系统
-
这里的自然功率和前面波阻抗那里的自然功率一样吗?好像确实是一样的,当首端电压等于末端电压,则没有无功,整条线路只传输无功,也满足波阻抗的那块的定义
-
这里的UN代表的意思是不是在110kv附近的的电压都换成110kV计算
-
小扰动法的那个震荡频率也要会推吗?老师上课讲的时候直接让记公式了,这个题啥意思,而且我看他答案也是推导的特征根,最后直接写上去了个震荡频率的公式,也没给震荡频率的推导过程。
-
1️⃣这个灵敏度怎么计算,b点的最小短路电流是多大,算了好几遍都是错的,这个咋算的
2️⃣下面的三段电流,计算最大负荷电流的计算式子好像写错了,我计算出来是164
-
我这样用EQ确定Eq角度,Uq的公式算Eq,为什么不对呢